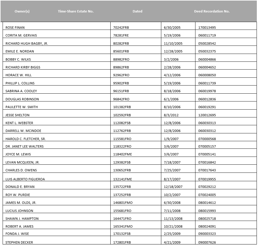
Pursuant to that certain Appointment of Trustee duly recorded in the Clerk’s Office for the Circuit Court for the County of York, Virginia (the Clerk’s Office), default having occurred under the OWNER OBLIGATIONS of each of the owners shown below as required in the Time-Share Documents by reason of failure to pay maintenance fees and notice of default having been given to each of the owners specifying the amount thereof and payment not having been made, the undersigned will offer for sale at public auction at the Front Entrance of the Circuit Courthouse Building at 300 Ballard Street, Yorktown, Virginia 23690 on July 11, 2023, at 11:00am. the Time-Share Estates listed below, located at Colonial Crossings of Williamsburg, a Vacation Ownership Resort located at 200 English Garden Way, York County (Williamsburg), Virginia 23188.


Sale shall be made subject to all existing easements and restrictive covenants as such may lawfully affect the real estate including the Time-Share Instrument for Colonial Crossings of Williamsburg, a Vacation Ownership Resort, made by Land OR Williamsburg, LLC, recorded in the Clerk’s Office of the Circuit Court of York County, Virginia, Instrument No. LR130013712, dated February 23, 2005, and all supplements and amendments thereto, collectively referred to as “The Time-Share Instrument.”
THIS COMMUNICATION IS FROM A DEBT COLLECTOR ATTEMPTING TO COLLECT THE INDEBTEDNESS REFERRED TO HEREIN AND ANY INFORMATION WE OBTAIN WILL BE USED FOR THAT PURPOSE.
Terms: Cash. Settlement within ten (10) days of sale. A bidder’s deposit not to exceed $100.00 may be required.
For Information Contact: Kenneth V. Farino Jr., Substitute Trustee
140 Tewning Road, Ste. D
Williamsburg, VA 23188
804-643-1500
Sponsored content by Wilson Title Services

